• 草莓视频苹果下载,草莓视频成人网站,草莓视频APP污黄,草莓视频污版下载网址

    东莞市草莓视频苹果下载仪器设备有限公司主营: 冷热冲击草莓视频成人网站、 高低温温冲击草莓视频APP污黄、 高低温冲击箱等产品!

    咨询服务热线:400-822-8565 网站地图 生产实力

    您的位置: 首页 > 草莓视频污版下载网址资讯

    新型单机压缩机高低温草莓视频成人网站的研制

    文章出处: 责任编辑:草莓视频苹果下载仪器 发表时间:2014-01-22
    新型单机压缩机高低温草莓视频成人网站的研制
    随着环境试验技术的发展,对一些重要军用设备的关键部件和电子元器件.需用到体积小、制冷温度低、控制精度高的小型高低温草莓视频成人网站.而目前我国生产的高低温箱(箱内容积最小为 60 升),其制冷系统均以氟利昂作为制冷剂,且必须使用2台压缩机,不仅体积大,而且降温时间也比较长。为此,草莓视频苹果下载新近研制了一种容积为30升的小型高低温草莓视频成人网站,采用非氟利昂制冷剂,单机压缩机,不仅使制冷系统整体体积缩小,而且低温性能良好。它可进行高温恒温、超低温恒温、高低温程控循环试验。该设备生产成本低、箱体体积小、温控精度高、设计安全可靠,在电工、电子、军用材料、家用电器和医学生物等领域均有广泛用途。
     
      2   制冷系统设计
       本箱体的制冷系统是采用单个全封闭小型压缩机,非氟里昂制冷剂,达到一70℃以一下低温的制冷系统。其特点是:体积小,制冷效率高。
     
      2.1制冷系统的工作原理
       单机压缩机制冷系统,由1.压缩机,2.冷凝器,3.通风机,4.干燥过滤器,5.同流换热器,6.低温节流阀,7.蒸发器,8.调节阀组成。在装置中充满三种成份的烃类混合制冷剂.压缩在压缩机中的混合物流向冷凝器.在冷凝器中只有一种成分转换成液相。通过冷凝器后,高压蒸汽液体混合物通过过滤器到达同流换热器,冷却至约一40 ℃~一50℃,通过同流换热器蒸汽液体混合物不断地节流,温度降低至约-10 0 ℃,并流向热交换器。在这里混合物汽化,并回升至一80℃,然后逆流流到冷却直流的同流换热器中。从同流换热器中出来后,逆流混合物的温度比室温低 10 一 巧 ℃,并回到压缩机中。
     
      2.2 制冷系统主要特性的计算
       2.2.1箱子的热计算主箱体可看作一个正方体,容积v=o 40 升,表面积F 二 O.M7,。在箱子为正方体的条件下,所计算的热流表面积等于箱子的表面积,且不取决于绝热层的厚度6.随着6的变化,箱子的外部尺寸也随着之变化。箱子本身及其外壳是用厚度为0.6 ~2.Smul的不锈钢作的,箱壁和外壳的热阻可以忽略不计。用聚苯乙烯作为绝热层,其热导系数为入=0.04 w/ MK,比重为丫 T二33KG /r 热流量 =Q KF (T一T0 )K一环境空气和箱内空气之间的散热系数;T和T于环境温度和箱内温度,计算时 =T 30K0,TO二2 03K
    高低温草莓视频成人网站 
    箱子内外的散热系数,在自然对流没有通风的条件下绝热体的厚度为90 毫米。此时,可计算出箱体的热流量为28w。估算表明,通过导线的热流量不超过 10 瓦,而热桥上的则不超过7瓦。所以,可以的计算,静止状态下的箱内温度等于一 70℃,流到箱内的总流量为45 瓦。
       .
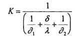
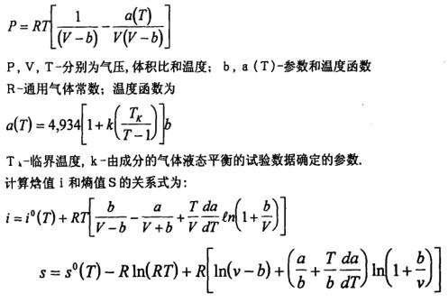
    2.2 混合制冷剂的热力性质的计算
       对于多成分工质,可运用体积状态方程来进行热力计算和节流循环的分析。其主要优点在于:    1) 热力性质计算,方程式简单,    
          2) 说明气态和液态平衡物质的连续性在体积状态方程中,草莓视频苹果下载使用P K B (列德里赫一克沃格) 方程计算热力性质.P KB方程:
     
     
    高低温草莓视频成人网站 
    上述关系式中,i“(T)和 s“(T)一般为温度的多项式.
     对于多成份工质,方程保持原状,0s(约一理想气体消的温度关系但它的参数a和b则取决于混合物的成分。采用贝尔特拉一果尔采恩参数的复合定理:
    高低温草莓视频成人网站 
       根据以上公式,可计算出各种混合冷却剂的机器特性,并比较其循环特性。
     
    3.电器控制原理
    4.
      3.1设计要求:a.箱体内温度范围:一 70 ~ +125℃;b.升降温速率:十 35℃降至一 70℃的时间簇 90 分钟,反之亦然;。.考核升降温速率时:环境温度+15 ~ + 35℃:d.温度波动度:士 0.5 ℃;e
    .温度均匀度:士 2 ℃。
    3.2控制原理
    高低温草莓视频成人网站 
       控制原理框图如上图所示,盯 为10铂电阻,在很宽的温度范 围内有良好的均匀性各灵敏度短处是必须附加恒流源装置。虚线框内代表PDI温度程字控制器,通过执行机构来平衡箱内温度。草莓视频苹果下载在本设备的设计中,采用了的数字可编程调节器,由于生产厂家是批量生产,所以成本并不高,而功能却很强,控制精度也极高。它在装机运行中,经过草莓视频苹果下载仔细设计,显示了强大的控制功能,克服了以往 PI D 调节器调试周期长应用难度大的困难。由于草莓视频苹果下载采用时间比例温度功率输出,大功率可控硅代替继电器开关,特别是制冷系统启动/关停程序自动控制技术, 避免了节流装置中毛细管长度改变控制低温温度以达到平衡的老方法,在高温恒温和低温恒温都有0.2 的控制精度。这些设计措施,不公有效地提高整机性能,且许多控制机能都集中于 PDI调节器本身,大大减少了外部电路,PI D调节器又有极强的抗干扰和可靠性安全性能,使得整台设备的可靠性水平大大提高。
     
     
    4.箱体的结构设计
     
    箱体的结构设计主要体现以下特点:
    (1) 体积小,,重量轻;
    (2) 绝热层采用聚氨醋发泡,隔热效果较好;
    (3) 外形美观;箱体前面部分采用 目前较流行的圆弧形设计,箱体本身和它的外壳是用厚度为0.6 ~2.Snl的不锈钢材料,用数控车床加工而成的。
     
    箱体的热交换原理
    箱体的热交换特点是在热交换通道内将冷热空气混合,得到均匀的气流后,再送工作箱内。采用轴流风机送风装置,结构简单,依靠它的搅拌风力能在较宽的温度范围内使用,这种系统温度温度均匀度性能良好。箱体隔热材料选用聚氨酷,这种材料具有导热率低、热稳定性能好的特点。
     
    5.试验结果
      采用典型的机载 电子设备可靠性试验温度剖面,草莓视频苹果下载进行了温度试验,试骏数据见下表。
    高低温草莓视频成人网站 
    试验结果表明 ( 见图2 ),除升温和降温阶段之外,该设备其他阶段的精度均可达到国内领无水平.
    http://www.sdypx.com 

    电话

    贾小姐

    15899697899

    微信

    二维码

    加微信好友

    邮箱

    电子邮箱

    zhenghang@vip.126.com

    网站地图